G2114项目组:人工智能辅助催化剂设计新策略
发布时间:2021-08-09
近日,材料科学姑苏实验室在人工智能辅助研究自旋催化方向取得突破性进展,相关研究成果发表在化学类顶级期刊《美国化学会志》(Journal of the American Chemical Society)上,论文题为“Electronic Spin Moment as a Catalytic Descriptor for Fe Single-Atom Catalysts Supported on C2N”。材料科学姑苏实验室G2114项目负责人江俊为该论文的唯一通讯作者。

金属单原子催化剂以其高催化活性和低成本等特性受到人们的广泛关注。本研究采用密度泛函理论计算,结合人工智能的方法,研究了C2N-Fe体系不同自旋态下的单原子ORR催化反应,发现Fe和O2之间的电荷转移引起自旋磁矩的变化,并提高了ORR的催化活性。研究发现自旋磁矩和催化活性之间的构效关系,提出电子自旋磁矩可以作为Fe单原子催化剂的关键描述符,为人工智能辅助的催化剂理性设计提供了新的策略和思路。
全文速览
过渡金属化合物的催化活性跟电子自旋态密切相关,然而,催化剂的微观原子结构自由度非常大,其电子结构复杂性也非常高,给人们研究电子自旋和催化活性之间的内在关联带来极大的困难。本工作基于第一性原理模拟Fe单原子催化氧还原反应(ORR),通过总结大量理论计算,提出电子自旋磁矩可作为Fe单原子催化活性的构效关系描述符。在ORR过程中,基质C2N负载的Fe单原子催化剂与O2分子之间的吸附作用引起Fe和O2电子自旋磁矩的变化,反映了Fe到O2上的电子转移,并与其催化活性成近似线性的依赖关系。通过合理调控自旋磁矩,ORR势垒可低至0.10 eV。这些发现揭示了催化活性和自旋的相关性,也暗示了两者之间可能存在的更深层更本质的内在关联,例如他们都依赖于Fe原子上的d轨道与原先氧气分子上的π键分子轨道的重新组合和分布。此外,自旋磁矩描述符的确立还将助力人工智能方法从大数据找到可迁移泛化的构效关系,为过渡金属单原子催化剂的设计提供了新的思路和策略。
背景介绍
金属单原子催化剂(single-atom catalysts, SACs),由于其卓越的催化性能和超高的原子利用率,已经引起了广泛的关注。SACs的催化活性跟金属单原子的自旋态密切相关,尤其是3d过渡金属。李隽教授等人曾报道称N-FeN4C10片段通过自旋交叉机理高效催化ORR。Jaouen等人发现低自旋和中间自旋的FeN4C10片段对ORR表现出更高的持久性和活性。此外,张涛研究员通过研究原子级分散的Fe–N–C催化剂,发现处于中间自旋的Fe(III)N5对C–H键的选择性氧化活性比高自旋或低自旋的Fe(III)N6均高出至少一个数量级;李小飞等也证实FeN3活性中心是高自旋极化的,局域的磁矩促进了N2的吸附和N–N三键的活化。可见过渡金属自旋态的调控对的催化活性的影响是极其重要的。然而,催化剂的微观结构自由度和电子态复杂度都极大,自旋态和催化活性的内在关联尚不清楚。
近日,材料科学姑苏实验室和中国科学技术大学合作,通过构筑氮掺杂的石墨烯负载铁单原子(Fe?N?C)催化剂用于氧还原反应(ORR),并通过密度泛函理论计算研究自旋和活性的关系。研究发现C2N负载的Fe单原子催化剂与O2分子之间的吸附作用引起Fe和O2电子自旋磁矩的变化,反映了从Fe到O2上的电子转移,并与其催化活性成近似线性的依赖关系。两者之间接近线性的关系表明在此类催化剂中电子自旋磁矩是一种有前景的构效关系描述符。通过对自旋态的合理调控,在C2N?Fe上ORR的势垒可低至0.10 eV。这些发现为过渡金属单原子催化剂提供了全新的设计思路。
图文解析
A O2在C2N负载的Fe单原子上的吸附
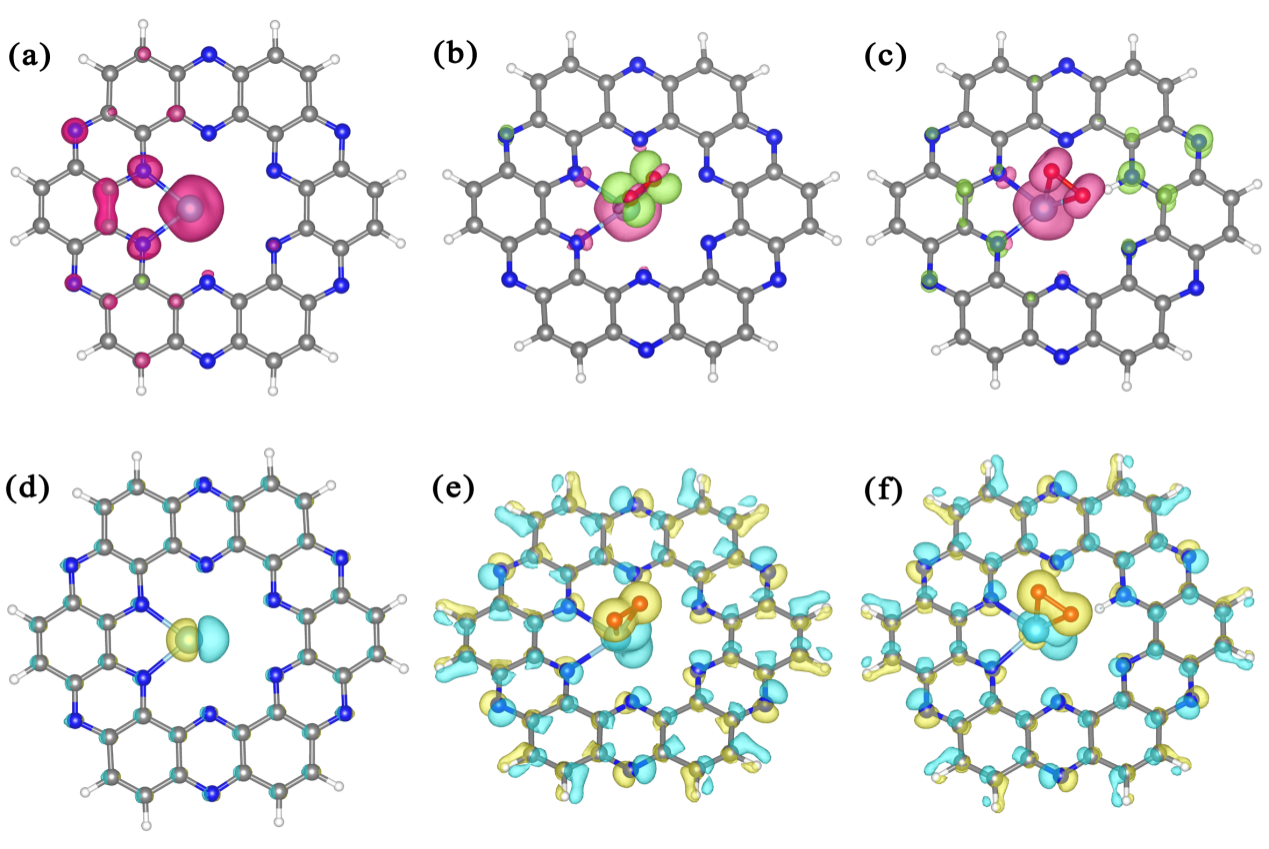
如图2所示,四个C2N原胞形成一个孔状结构,单个Fe(II)或Fe(III)原子通过两个相邻的N原子绑定在C2N团簇上。C2N负载的单个Fe(II)(C2N–Fe(II))有三种不同的自旋态:S=0, 1和2。其中,高自旋态(S=2)是基态。C2N–Fe(III)的基态则是S=3/2。O2分子的单吸附或者O2和H原子的共吸附都是通过侧面吸附进行。自旋密度分析显示C2N–Fe上的自旋主要局域在Fe和临近的N和C原子上,Fe的电子自旋磁矩是0.22–0.58 μB 。当O2吸附的时候,自旋主要局域到Fe和O2上。差分电荷密度分析显示了从Fe到O2上有一个有效的电子转移。

Figure 2. Spin densities of C2N–Fe (a), C2N–Fe–O2 (b), C2N–Fe–O2–H (c). The isosurface value is 5 × 10–3 e ?–3. Electron density differences for C2N–Fe (d), C2N–Fe–O2 (e), C2N–Fe–O2–H (f). The isosurface value is 0.1 e ?–3. Yellow and blue bubbles represent electron accumulation and depletion, respectively.
B O2在C2N–Fe上的还原反应机理
O2在C2N–Fe上的还原反应可以通过三条路径进行:(1) O2解离路径,(2) OOH路径,(3) H2O2路径。O2解离路径的最优通道是在C2N–Fe(II) (S=2)上进行,速控步的势垒是0.83 eV。OOH路径的最优通道是在C2N–Fe(II) (S=2和1)上进行,速控步的势垒是0.15–0.18 eV。H2O2路径的最优通道是在C2N–Fe(III) (S=3/2)上进行,速控步的势垒是0.10 eV。如图8所示,通过对自旋态的合理调控,可以使ORR的势垒降低至0.10 eV。

Figure 8. Calculated potential energy profile of the H2O2 pathway on C2N–Fe(III) (S=3/2, 5/2 and 1/2). The relative energies are Gibbs free energies, and the corresponding energies of spin ground states at elementary steps are set to 0 eV.
C 探究C2N–Fe催化剂活性和自旋的关系
通过比较C2N–Fe不同自旋态下的催化活性,文章发现活性中心Fe和反应分子O2自旋磁矩的变化,以从Fe到O2上的电子转移为桥梁,反映了ORR的催化活性。相关的公式是Ea=1.040Δq+1.709,决定系数是0.894,显示了活性和自旋接近线性的关系。

Figure 11. Correlation between the variation of electronic spin moments B of Fe+O2 and energy barriers of the rate-determining step of the oxygen reduction reaction on C2N–Fe SACs for different spin states. Coefficient of determination R2=0.894. Cross points represent cases with a little change of spin or spin-zero states.
总结与展望
通过密度泛函理论计算,作者系统地研究了C2N负载的Fe单原子上ORR。发现在C2N–Fe上ORR反应势垒可以通过自旋态的调控降低至0.10 eV。作者还首次报道了C2N–Fe的催化活性和Fe+O2自旋磁矩的变化接近线性的关系。这说明电子自旋磁矩可作为Fe单原子催化剂的催化描述符,为未来的高通量实验与大数据分析研究良好的基础,有望为过渡金属单原子催化剂的设计提供新的策略。最后,催化活性和自旋的数学依赖关系可通过多体系和大数据,以d电子能带中心位移、电子转移以及轨道重叠程度等为桥梁进一步印证,为自旋调控活性提供依据。
原文链接:https://pubs.acs.org/doi/10.1021/jacs.1c00889





苏公网安备 32059002003194号